防尘·抗水规格电动机(IP67)水洗防水试验

考虑长年使用老化的“水洗抗水试验”-本公司自我测评

IP表示的保护等级是对新品状态下的电动机的防尘抗水性能的评价。
使用电动机期间,密封部件(O形密封圈)会逐渐老化,可能无法确保初期的抗水性。本公司将密封部件的长年使用老化纳入考量之中,实施作为本公司自我测评标准的“水洗抗水试验”,以确认没有水渗入电动机内部。

本公司的“水洗抗水试验”

① 热冲击测试

对密封部件(O形密封圈)施加相当于5年的热劣化

② 振动测试

对电动机施加振动

③ 放水测试

100kPa水压的水喷淋

  • ※ 基于本公司的条件和方法的试验,并不保证无故障。

目标产品

  • 无刷电动机 BMU系列

    轻松操作和简单配线,只需连接电动机和驱动器。不依赖频率,速度稳定性优良的无刷电动机。

    BMU系列
  • 无刷电动机 BLE2系列

    可实现16速的速度设定和转矩限制。不依赖频率,速度稳定性优良的小型·高输出·高效率无刷电动机。

    BLE2系列

试验条件

①热冲击测试(温度骤变试验)

对密封部件(O形密封圈)施加相当于5年的热劣化。(IEC 60068-2-14)

设定温度

低温 -24℃、高温 100℃

保持时间

低温 85分、高温 75分

循环次数

110个周期

②振动测试

对电动机施加以下条件的振动。(IEC 60068-2-6 附录C)

频率范围 10~150Hz·10~60Hz 双振幅 0.7mm
·60~150Hz 加速度 50m/s2
振动方向 (X、Y、Z)三轴向
扫频循环次数 每个方向20个周期

③放水测试

对密封件所在部位实施100kpa,、流量100L/min的喷淋测试。

判定标准

电动机内部无水渗透。

放水实验进行中的样子
喷淋试验实施状态

试验内容

首先,进行上述①的热冲击测试,以实现5年的加速老化。
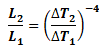
温度骤变试验的加速老化概念如下。

公式

L2

试验周期数

L1

预期周期数

ΔT 1

使用条件的温度差[℃](电动机外壳温度上升量+电动机周围环境的温度变化量)

ΔT 2

试验条件的温度差[℃]

预期循环基数按单日温度变化记为1次循环,5年等效1825次循环
这次假定的5年的周期数是1825。
此外,试验条件的温度条件在O型圈的使用温度范围内。
基于这样的条件,我们计算出试验周期数。

此外,我们还考虑了密封零件因振动而移位的情况,并进行了上述②的振动测试。

针对防尘·抗水规格的无刷电动机(IP67)按100kPa的水压下进行水洗,这在上述③的放水测试中得到了体现。